☆'s 静電容量型五百円玉センサ

☆☆ もくじ ☆☆
0. はじめに
1. 計測原理
2. 計測回路
3. 実装
4. おわりに

戻る

0. はじめに
  今年の三年生設計演習で 500 円玉の枚数を判別するセンサ(図1)を製作した。
☆の研究(静電容量型触覚センサ)で昔使っていた方法を応用した。
簡単にできて意外と安定性がよいので、この機会に要点をまとめる。


図1 500 円玉の枚数 N を判別する静電容量型センサ。


1. 計測原理
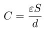
  図1左のように厚さ d [m] の絶縁体を挟む、面積 S [m^2] の平行極板間の静電容量 C [F] は、
縁での漏れ電界を無視すると次式のように表される。ε[F/m] は絶縁体の誘電率。


500 円玉の質量を m [kg]、絶縁体のばね定数を k [N/m] として、
N 枚載せたときの変位 Δd [m] が次式に従うと仮定する。g [m/s^2] は重力加速度。

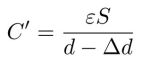
またそのときの平行極板間の静電容量 C' [F] は次式のように表される。


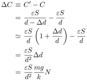
ここで静電容量の変化量 ΔC [F] を考えると、
Δd が微小であるとき、テイラー近似を用いて以下のように計算される。

静電容量の変化量 ΔC が 500 円玉の枚数 N に比例する。
したがって静電容量を計測することにより 500 円玉の枚数を判別することができる。


※今回は d の変化を利用しているが、ε や S に着目する使い方もある。
  例えばε が湿度の影響を受けることを利用すると湿度センサになったり(参考:エレ工房さくらい)、
  極板同士がズレると実効的な面積 S が変わるので水平移動や回転角度センサになったり。


2. 計測回路
  静電容量を測る方法には以下のようなものが考えられる。(他にもあるかも)
  (1) 一定時間内での RC 発振のパルス数をカウント
  (2) マイコンなどで充電時間を計測
  (3) ワンショットマルチバイブレータ(74LS123)の出力パルス幅
  (4) 既知容量と直列接続したときの分圧
(1)、(2)、(3) は、抵抗と容量で決まる時定数を利用したもの。
(4) は一定電圧で測れるのが利点。(←研究の LSI に搭載)

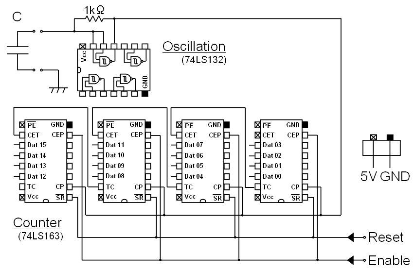
今回はお手軽な (1) RC 発振を採用した。作成した回路を図2に示す。
Reset は通常 HIGH であり、LOW でカウンタをリセットする制御入力。
Enable が HIGH の間(2 ms 程度)にパルス数をカウントする。(→タイミングチャート
そのパルス数を、カウント時間で割った値が発振周波数 f [Hz] である。
制御入力の生成とパルスカウントはどちらも PIC で行った。

図2 計測回路図。発振部とカウンタ部から成る。(→拡大図


発振部は図3のようになっており、その発振周波数 f と静電容量 C の関係は次式で表される。

VDD は電源電圧、VTH、VTL は LOW→HIGH、HIGH→LOW を判定するスレッショルド電圧。
VTH > VTL となっており、その電圧間を遷移する時間が発振周波数に関係している。
経験上、この回路の発振周波数は気持ちいいくらいピシッと安定する
例えば数十 pF に対して数 MHz で発振し、その変動は 0.01 MHz 程度である。

図3 発振部。抵抗 R [Ω] を介して C の充電・放電が繰り返される。


カウンタ部では 4 bit カウンタを 4 個直列接続し、16 bit カウンタとしている。
Dat 00 が最下位ビット、Dat 15 が最上位ビットを表す。


※電源から供給される電流が足りないと周波数は安定しない。特に使い古しの電池には注意。


3. 実装
  センサの材料には、厚さ 2 mm のスポンジシート(絶縁体)と金属箔(極板)を用いた。
作成したセンサを図4に示す。
初期容量が 50 pF 程度で、500 円玉を 6 枚載せると 65 pF 程度まで変化した。

図4 五百円玉センサ。積層させる(面積を増やす)ことで感度をかせいでいる。
    右は 500 円玉を載せてみたところ※※



また、作成した回路を図5に示す。今回は制御用 PIC の都合で、16 bit 中 6 bit のみ使用。
枚数によって変わるビットを狙うことで 0、2、6 枚(今回の狙い)が容易に判別できた。

図5 計測回路。奥側が発振回路、手前が 16 bit カウンタ。


どちらも北野佑 氏(三年生)の作品。


※  厳密にはスポンジのように非常に軟らかい材料は非線形弾性を示すが、
   軽いものを載せているうちは線形弾性で近似できる。
   それを超えた非線形領域でも単調増加ではあるためそれなりに使える。

※※表面の極板に指や金属を近づけたときそれらの間に生じる寄生容量が気になるが、
   表面の極板をグラウンドにしておけば、その影響がセンサ側に現れないので安心。


4. おわりに
  スポンジの静電容量型センサは、変化量が 〜数十 pF と大きく、安定性や再現性も結構よい。
(スポンジのへたり具合などで初期値が変わることはあるので注意)
測定できる力のレンジはスポンジの硬さ(密度など)によって調整できる。
圧力センサを簡単に実現したい場合にオススメ。

また静電容量は RC 発振の周波数によって手軽に計測できる。
ただしこの方法では以下のような要因により、静電容量の絶対値は保証されない。
  (1) 回路内の寄生容量
  (2) 発振の温度依存性
それでも初期値からの変化量を観測するには十分かと思う。(分解能 0.1 pF 程度はいけそう)


戻る

公開: 2006/07/07
更新: 2006/07/10
Takayuki Hoshi: star(at)alab.t.u-tokyo.ac.jp